相關產品
相關文章
你的位置:首頁 > 產品中心 > 標準品 > 美國NIST標準品 > SRM 2203 - 氟化鉀(離子選擇電極標準)
產品詳細頁
產品介紹
NIST SRM 2203氟化鉀(標準品)經該鹽溶液中氟離子活性認證,可用于氟離子選擇電極的標準化。該材料具有分析試劑級純度,但不應被認為完全不含氯、氟硅酸鹽和重金屬。在無液體結的電池中使用氟離子選擇性電極的溶液電位測量表明,該材料在測得的氟離子選擇電極電位的精密度(±0.003 pF單位)內均一。這種材料的化學分析表明,干燥后的最di為99.5%KF。
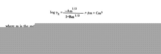
NIST SRM 2203氟化鉀(標準品)測定了氟化物的活度系數和25°C下F(=-log Ar-,其中Ag-是氟離子的常規活度)在摩爾濃度m=0.0001~m=2.0范圍內的相關值。反頁表中可以找到AP-和PF(S)在選定摩爾濃度范圍內的相關值。給出的PF(S)值估計為±0.01pF單位。
氟化鉀的平均摩爾活度系數(m=0.0001~m=2.0)在25°C下可用方程表示:




試劑標準品
